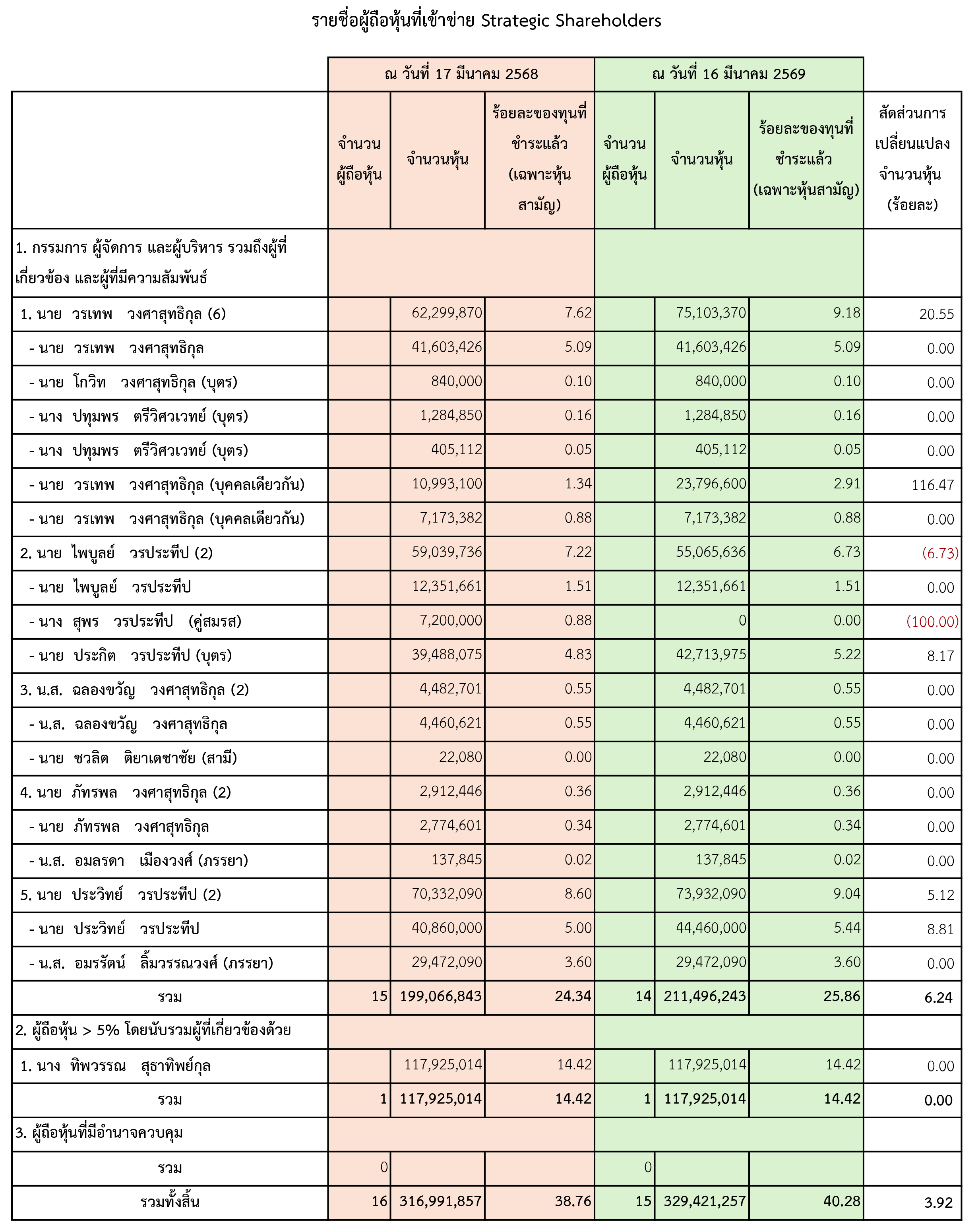
ข้อมูลผู้ถือหุ้น

 

 
 
 
หมายเหตุ : การถือหุ้นของกรรมการและผู้บริหารทางอ้อม และการเปลี่ยนแปลงจำนวนหุ้นที่ถือของกรรมการและผู้บริหารทั้งทางตรงและทางอ้อม จะแสดงข้อมูลสำหรับกรรมการที่มีการถือหุ้นของบริษัทฯ เท่านั้น ทั้งนี้กรรมการที่ถือหุ้นในสัดส่วนร้อยละ 0 ไม่สามารถแสดงข้อมูลข้างต้นได้